中国粉体网讯 传统的颗粒测量方法有筛分法、显微镜法、沉降法、电感应法等,近年来发展的方法有激光衍射法、计算机图像分析技术,基于颗粒布朗运动的粒度测量法等。
筛分法
筛分法是颗粒粒度测定方法中历史最长、最通行的一种方法。具体操作是将颗粒样品通过一系列具有不同筛孔直径的标准筛(即筛系),分离成若干个粒级,再分别称重,然后求得以质量分数表示的颗粒粒度分布。
筛分法的优点是原理简单、直观,操作方便,易于实现。缺点是测量精度不高,测量过程中容易破坏粒径分布,影响了测量结果。
显微镜法
显微镜法的基本工作原理是将显微镜放大后的颗粒图像通过CCD摄像头和图形采集卡传输到计算机中,由计算机对这些图像进行边缘识别等处理,计算出每个颗粒的投影面积,根据等效投影面积原理得出每个颗粒的粒径,再统计出所设定的粒径区间的颗粒的数量,就可以得到粒度分布了。
显微镜法的优点是减少了人为观测误差,提高了测试速度。缺点是制样要求高、操作复杂,设备昂贵。
沉降法
沉降法的基本原理是根据不同粒径的颗粒在液体中的沉降速度不同来测量粒度分布。具体操作是把样品放到某种液体中制成一定浓度的悬浮液,悬浮液中的颗粒在重力或离心力作用下发生沉降。
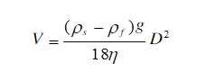
①Stokes定律
在液体中大颗粒沉降速度快,小颗粒沉降速度慢。沉降速度与粒径的数量关系:

②比尔定律
通过测量不同时刻的光强得到光强的变化率,可以求得粒度分布。
电阻法
电阻法是根据颗粒在通过一个小微孔的瞬间,占据了小微孔中的部分空间而排开了小微孔中的导电液体,使小微孔两端的电阻发生变化的原理测试粒度分布的。小孔两端的电阻的大小与颗粒的体积成正比。当不同大小的粒径颗粒连续通过小微孔时,小微孔的两端将连续产生不同大小的电阻信号,通过计算机对这些电阻信号进行处理就可以得到粒度分布了。
光阻法
光阻法(Light Blockage),又称为光障碍法或光遮挡法,是利用微粒对光的遮挡所发生的光强度变化进行微粒粒径检测的方法,检测范围从1μm到2.5mm。
激光法
激光法是根据激光照射到颗粒后,颗粒能使激光产生衍射或散射的现象来测试粒度分布的。由激光器的发生的激光,经扩束后成为一束直径为10mm左右的平行光。在没有颗粒的情况下该平行光通过富氏透镜后汇聚到后焦平面上。当通过适当的方式将一定量的颗粒均匀地放置到平行光束中时,平行光将发生散现象。一部分光将与光轴成一定角度向外传播。理论和实验证明:大颗粒引发的散射光的角度小,颗粒越小,散光与轴之间的角度就越大。以此来计算粒度分布。

除此以外还有其他的测量方法,但以上方法是比较常用的。如今颗粒测试已经被广泛应用于各行各业和多学科中,包括材料、能源、环境、化工、医药、农业、生物到生命科学等领域,已形成一个跨学科的交叉性很强的技术,备受国内外科技界和产业界所关注和重视。
参考资料:
百度文库.颗粒粒度检测综述讲解
百度文库.沉降法粒度测试原理——Stokes定律
百度百科
(中国粉体网编辑整理/墨玉)
















