中国粉体网讯 黑磷是磷的一种同素异形体,常压下具有二维层状结构,是直接带隙半导体。自从2014年复旦大学教授张远波和中国科学技术大学教授陈仙辉等发现二维黑磷场效应晶体管表现出很高的载流子迁移率和良好的I-V特性,其作为新型的带隙可调的二维电子材料受到了广泛关注。同时,也激发了人们对黑磷单晶重新研究的兴趣,中国科学院物理研究所的多个课题组分别从不同角度对其开展了实验和理论的研究。
早期的高压研究显示,黑磷在常压下具有正交结构(A17相),高压下会经历两个结构相变,分别在约5GPa和10GPa依次转变为菱方结构(A7相)和简单立方结构(SC),而且这两个高压相在低温下都出现超导电性。最近,人们利用活塞-圆筒压腔在2.5GPa的静水压范围内对黑磷单晶开展了详细研究,发现其在约1GPa还会发生Lifshiz转变,从半导体转变为具有非平庸贝里相位的拓扑半金属,磁电阻和霍尔电阻均表现出明显的量子振荡以及具有手性反常的负磁阻行为。然而,由于高压技术的限制,人们对A7和SC这两个高压相的磁电阻行为,尤其是在较好静水压下的内禀性质还缺乏系统的研究。
最近,中科院物理所/北京凝聚态物理国家研究中心极端条件物理重点实验室EX6组博士孙建平、研究员程金光与凝聚态理论与材料计算重点实验室研究员向涛,联合美国德克萨斯大学奥斯汀分校博士李翔、教授周建十、John B. Goodenough、宁波大学博士高淼、日本东京大学教授Yoshiya Uwatoko等合作者,采用六面砧大腔体高压低温物性测量装置,在15GPa静水压、1.5 K最低温和9T磁场的综合极端环境下,对高质量的黑磷单晶开展了细致的高压下磁电输运性质测量,重现了黑磷丰富的高压相和电子物态,并详细表征了它们的磁电输运行为,为全面理解黑磷高压相的物理性质提供了重要信息。相关成果近日发表在《美国国家科学院院刊》(PNAS)上。
他们首先利用六面砧装置测试了黑磷单晶的室温电阻率随压力的依赖关系,如图1所示,电阻率在~1GPa、5GPa和10GPa表现出明显的反常,分别对应A17相的Lifshitz转变、A17-A7和A7-SC结构相变,与之前的高压研究结果吻合。
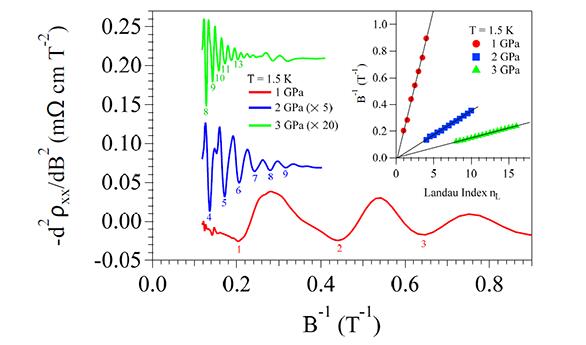
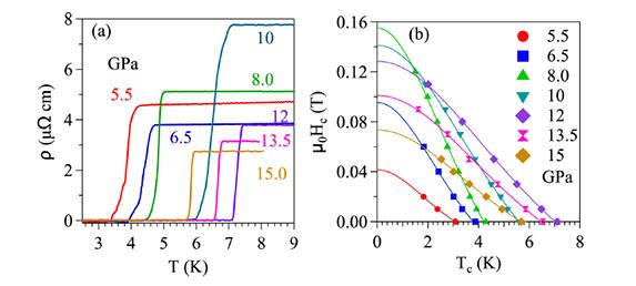
然后,他们对不同的高压电子相开展了详细的磁电输运性质测量,如图2-5所示:当黑磷在A17相内经历Lifshtz转变后,零场电阻率表现为金属行为,且电阻率值随压力升高逐渐降低,当施加8.5T磁场后,低温电阻率呈半导体特征,在很大温区表现出巨大的正磁阻效应,在2GPa、1.5K、8.5T时MR高达4×105%,此外低温下还伴有明显的SdH量子振荡(图3),但是没有超导电性;然而,当黑磷在5GPa以上进入A7相之后,零场电阻率在低温3-5K出现超导电性(图5),同时仍然表现出很大的正磁阻效应,在5.5GPa、1.5K、8.5T时MR达到了~2×103%,具有如此大正磁阻的超导体是很少见的,非常值得深入研究;当黑磷在10GPa以上进入SC相以后,其电阻率表现出简单金属行为,超导转变温度逐渐升高,12GPa时达到最高的7.5K,然后随压力升高又逐渐降低,15GPa时降至5.8K(图5),正常态的正磁阻值也急剧减小到典型金属范围,1.5K、8.5T时MR ~20%。通过修正的Kohler模型对磁电阻数据进行拟合,发现A17相的载流子迁移率非常高(~104cm2V-1S-1),这可能是其具有巨大正磁阻的起源,在经历A7和SC相转变后迁移率逐步减小,同时对霍尔电阻率分析显示,有效载流子浓度逐步得到提升,但在A17和A7相中霍尔电阻随磁场均出现正负号变化(图4),表明黑磷在这两个相都具有补偿半金属特征。
此外,通过第一性原理计算,他们还利用McMillian–Allen–Dynes公式很好地重现了简单立方相的超导转变温度。以上研究结果对全面理解黑磷单晶不同高压相的电子行为提供了重要参考信息。
该工作得到科技部重点研发计划(2018YFA0305700、2017YFA0302901)、国家自然科学基金委(11574377、11874400、11474331)、中科院B类先导专项(XDB07020100)和前沿重点项目(QYZDB-SSW-SLH013)的支持。

图1. 黑磷单晶的结构相变与电阻的压力依赖关系。

图2. (a) 黑磷单晶在不同压力(1-15GPa)和不同磁场(0T, 8.5T)下的电阻率随温度的依赖曲线;(b)归一化的磁电阻随温度的依赖关系;(c)黑磷的高压相在1.5K时的磁阻随磁场的变化关系。

图3. 黑磷单晶在A17相不同压力下的1.5K量子震荡数据。

图4. 黑磷单晶在1.5K不同压力下的霍尔电阻ρxy随磁场的依赖关系。

图5. (a)黑磷单晶的超导转变随压力的演化关系;(b)超导转变临界场随压力的变化关系。
(中国粉体网编辑整理/平安)


















