中国粉体网讯 燃料电池与传统的发电装置不同,它能直接将燃料的化学能转化为电,不用热动力循环做功,因而摆脱了卡诺循环的限制,具有更高的发电效率。
燃料电池的种类多,目前主要有碱性燃料电池(AFC)、质子交换膜燃料电池(PEMFC)和固体氧化物燃料电池(SOFC)等几种类型。其中SOFC具有反应温度高、催化剂不含贵金属、燃料来源广、能够热电联供等优点,近年来其发展速度越来越快。
工作原理
SOFC由氧电极(阴极) 、燃料电极(阳极) 和夹在其之间的致密离子导体(固体电解质) 及连接阳极和阴极以收集电能的外部电路组成。

以碳氢化合物为燃料的SOFC工作示意
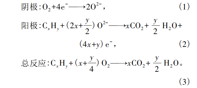
工作过程中,电极不直接参与反应,仅起催化剂作用,并提供离子和电子传输。如果使用碳氢化合物作为 SOFC 的燃料气体,并假设燃料在工作过程中被完全氧化,则阴极和阳极会自发发生以下反应:

阴极与氧气接触,O2分子利用来自阳极的电子还原为阴离子( O2-) 。随后,O2-离子穿过电解质并进入阳极,并氧化燃料产生水和二氧化碳,最后在阳极释放电子。产生的电子穿过外部电路并返回到阴极。当燃料和氧化剂充足时,SOFC 可以继续对外电路供电。
关键材料

SOFC典型结构
固体氧化物燃料电池由阳极、阴极、电解质、连接体及密封材料等部件组成。其中电极的主要功能是为电化学反应提供反应场所,并传导电化学反应产生的(或需要的)电子;电解质的主要功能为传导氧离子或质子;连接体的主要功能是将单电池连接,实现大功率输出,并隔断空气与燃料直接反应;密封材料则是将燃料和空气分隔密封在各自的流程区域内。
目前阳极主要采用Ni-YSZ多孔金属陶瓷。
电解质多为氧离子传导性良好、不透气的固态氧化物电解质,主要用陶瓷材料,通常采用氧化钇稳定的氧化锆(YSZ),也可以是掺杂的氧化铈、氧化钪稳定的氧化锆、掺杂的镓酸镧等。
阴极催化剂一般采用钙钛矿氧化物与电解质材料构成复合阴极,如广泛使用的LSM-YSG复合阴极,也可以是钴酸镧、钴酸锶钐等钙钛矿。
SOFC组件结构

管式SOFC(a)和平板式SOFC(b)
目前市场上广泛使用的SOFC单元的组件设计形式大体分为两类,即管式设计图(a)和平板式设计图(b)。管式设计由于其良好的密封性能而具有良好的长期稳定性,而平板式设计由于短的电流路径而具有高的功率密度,这两种设计方式各有优缺点,因此可根据不同的应用场景选择SOFC的设计类型。
优势
固体氧化物燃料电池与其它燃料电池相比,主要有以下优势:
①SOFC是采用固体氧化物作为电解质,具有全固态结构,因而无腐蚀、无泄漏、安全性高,可以单体设计。
②SOFC工作温度高(600~1000℃),在此温度下,电极反应迅速,且不需要使用贵金属如Pt等作为电极催化剂。
③发电效率高,不受卡诺循环限制,且燃料利用率高,高品质余热可以继续发电,也可以实现热电联供,能量利用率高达80%~90%。
④燃料适用范围广,由于工作温度较高,可以直接使用诸如天然气、液化石油气、煤气化气等来自于化石能源的燃料,也可以使用乙醇、沼气、生物质气化气等来自于生物质的燃料,还可以使用甲醇、氨气等未来利用“绿氢”和CO2反应得到的可再生燃料。
应用场景
基于以上特性,SOFC具有广阔的应用前景。具体的应用场景有以下几个方面:
小型家庭热电联供系统
小型SOFC家庭热电联供系统能够为家庭住宅提供电能和热水,在节能减排以及电力的削峰填谷方面优势明显。这方面日本已经有了成功的先例,其家用热电联产产品“ENE Farm”自 2009年5月已经累计销售超过11万台。
分布式发电
SOFC发电效率高、无噪音、无污染排放、功率范围调整灵活,可以提供百kW到几十MW功率的燃料电池系统,特别适合作为分布式发电或者数据中心的备用电源。Bloom Energy公司开发的产品目前已在苹果、谷歌、易趣等众多公司得到应用,在美国安装超过130MW的SOFC燃料电池。
交通领域
SOFC作为车辆、轮船、无人机等工具的辅助或者动力电源也得到了推广应用。2016年日产发布了世界首辆SOFC作为动力源的汽车,SOFC的燃料是生物乙醇,续航里程可超过600km。Bloom Energy公司与三星重工合作,计划将产品应用于船舶电源,预计到2027年,将有超过100艘邮轮需要超过4GW的电池订单。
大型发电站
CO2近零排放的大型煤气化燃料电池发电技术(IGFC)是将整体煤气化联合循环发电(IGCC)与高温固体氧化物燃料电池或MCFC相结合的发电系统,发电效率更高,CO2捕集成本低,是煤炭发电的根本性变革技术。三菱日立电力则致力于SOFC联合循环大型发电系统研发,2018年实现商用250kW和1MW规格的联合发电产品。
反向电解制氢
SOFC正向运行可发电,逆向运行可实现电解,即为固体氧化物电解池(SOEC)。SOEC可以通过电解水制氢,把与负荷不匹配而浪费的电能储存到氢气中,且电解效率高达85%~95%,远高于其他电解技术。
参考来源:
1.张伟等《碳基固体氧化物燃料电池研究进展》
2.中国化工信息周刊《固体氧化物燃料电池,距离商业化差什么?》
3.上海海事大学TISC《科技前沿速递——船用固体氧化物燃料电池》
(中国粉体网编辑整理/乔木)
注:图片非商业用途,存在侵权告知删除!















