中国粉体网讯 激光粒度仪以激光作为探测光源,具有测量范围宽、测量速度快、非接触在线测量、重复性好等一系列优点,已经在粉体、医药、电池等领域得到广泛的应用。
激光粒度仪主要依据Fraunhofer衍射和Mie散射两种光学理论制造。所谓的光散射法指的是采用静态和动态激光光散射测量聚集速率常数或稳定比,并且基于一定的光学理论基础和假设从而独立的得到绝对聚集速率常数。光散射法具有如下优点:
(1)测量不受颗粒物态的影响,固态、液态、气态颗粒均可测量;
(2)实现从亚纳米到微米范围的全覆盖;
(3)动态性能好、测量速度快;
(4)测量结果的准确度高、重复性好。

激光粒度仪的结构原理图
静态光散射法
静态光散射测量聚集速率主要是通过测量散射光强随聚集时间t的变化来计算得到。对于初始为单分散状态的较稀的胶体体系,其在波矢、位置的的散射光强I(q,t)为:

动态光散射法
动态光散射法是通过测量流体力学半径的变化率来计算得到聚集速率。根据
Einstein- Stokes公式,流体的力学半径与扩散系数之间的关系为:

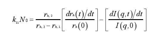
动静态结合光散射法
该公式避免了单粒子和双粒子聚集体散射光强的计算,因而可以适用于大粒子体系,但是必须要同时利用静态光散射测得的散射光强随时间的变化和动态光散射测得的流体力学半径随时间的变化来得到K11的值。因此实验测量过程要比单独的静态或动态光散射更为复杂。

RGD理论
Rayleigh-Gans-Debye (RGD)理论是常用的一种处理光散射的方法。RGD散射的物理基础在于它假定一个颗粒包含一系列互不影响的Rayleigh散射单元。尽管实际应用中RGD的结果能比理论上的应用范围更广一些,但其局限性仍然限制了其在光散射法中的应用。

Mie理论
Mie散射理论是激光粒度仪测量粒子大小分布的理论依据,它用数学模型精确地描述了折射率为n,吸收率为m,粒径为d 的球形粒子,在波长为 λ的单色光照射下,散射光强度随散射角θ变化的空间分布函数,即散射谱。由Mie散射理论可知,粒径越大,前向散射越强,后向散射越弱;随着粒径的减小,前向散射迅速减弱,后向散射逐渐增强。激光粒度仪通过测量不同散射立体角度内的光强分布,计算出被测样品的散射谱,进而计算出粒子尺寸的统计分布。
刘捷等曾提出浊度法测量中存在测量盲区(即盲点波长),并指出盲区对测量的精确性有很大影响。为了进一步改进光散射法测量聚集速率常数的精度,他们在光散射法实验中,深入分析了颗粒聚集时表现的一些物理现象的本质,提出在光散射法测量聚集速率常数时也有盲区存在,只是和浊度法不一样,浊度法是在一定的波长范围内,颗粒存在盲区。而光散射法的盲区主要体现在静态光散射方法测量中,在某个角度下存在光强不随聚集时间发生改变,即,光强随时间的变化率是一个常数。
随着激光粒度仪的应用面越来越广,针对激光粒度仪的技术现状问题也越来越突出,还有一些问题需要继续完善。包括爱里斑的反常变化带来的困扰、测量盲区问题、反演算法问题。
为帮助企业技术人员更好地了解颗粒在线测量技术,加快样品检测速度,提高检测结果的质量,中国粉体网旗下粉体公开课平台将于7月3日举办首届“粉体粒度表征及在线检测技术网络研讨会”,届时,来自全国颗粒表征与分检及筛网标委会副主任委员,天津大学兼职教授,珠海真理光学仪器有限公司董事长张福根将带来题为《散射光测量中的角度盲区及其对粒度测量的影响》的报告,为您解析更多粒度测量相关内容。

专家介绍
1962年出生,先后在浙江大学、南开大学和天津大学学习,获得学士、硕士和博士学位,1989年博士毕业留任天津大学精密仪器系光学工程专业教师,1991年南下珠海经济特区,1993年和朋友联合创办欧美克公司。
主要经历
1990年,以天津大学教师身份从事激光滴谱仪的研究、商品化开发和售后服务工作;
1993年,在珠海经济特区创立欧美克仪器有限公司,是欧美克LS系列、PIP系列、RC系列、ES型粒度仪的主要设计者和商品 化的领导者,推出中国第一台商用激光衍射法粒度仪,第一台颗粒图像分析仪和中国第一台库尔特法颗粒计数器;
1998年,当选珠海市香洲区政协副主席;
1999年,编撰《粒度测量基础理论与研究论文集》,内部发行。现已再版4次; 2001年,公司更名为“珠海欧美克科技有限公司”;
2002年,欧美克科技园第一期工程完成,投入使用;
2002年,获得中国颗粒学会第二届青年颗粒学奖;
2006年,当选中国颗粒学会副理事长;
2010年,从欧美克科技分立出仪器业务,成立“珠海欧美克仪器有限公司”,将后者股权转让给英国公司;
2011年,受聘天津大学兼职教授,指导博士和硕士研究生开展光散射理论基础研究;
2014年,当选珠海博士协会会长;
2015年,受聘珠海真理光学仪器有限公司,再次投身颗粒测试技术的研究和仪器的商业化工作。
参考资料:
隋修武等.激光粒度分析仪的关键技术及研究进展
于双双等.激光粒度仪光学系统设计方法
米利.胶体晶体弹性模量测量及光散射方法测量胶体聚焦速率
注:图片非商业用途,存在侵权请告知删除!



















