中国粉体网讯 热电材料可以实现温差和电能的直接相互转换。作为新型能源和制冷材料,热电材料具有无振动、无噪音、无需维护、可集成化等一系列优点,在空间技术、微电子与信息技术等领域具有广泛的应用前景。但是,当前热电材料的转换效率仍然较低,限制了其应用范围。传统热电材料主要是掺杂的窄带隙半导体,其效率受制于若干基础物理原因。其中两个方面尤其重要:一方面,电子空穴的热电效应符号相反,二者相互补偿降低了材料的总热电效应。另一方面,Wiedemann-Franz定律决定了电导和热导的大致比例,二者无法独立优化。
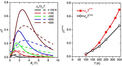
热电输运系数是一个张量,而目前的热电材料设计仅仅考虑了纵向效应,即温差和电压平行的热电输运。二者垂直的横向热电效应一般情况下非常小,况且通常需要外磁场,很少被人关注。中国科学院物理研究所/北京凝聚态物理国家研究中心极端条件实验室博士项俊森、研究员孙培杰和超导实验室研究员陈根富的最新合作研究表明,狄拉克半金属砷化镉Cd3As2在一个小的磁场中存在着一个很大的横向热电(能斯特)效应,室温下可以获得高达0.5(2T)的横向热电优值zT(参考图1)。该结果意味着在拓扑电子材料中,温差和电压相互垂直的横向热电效应远比人们以往所想象的要大,热电材料的应用并不一定要局限于温差和电压平行的纵向方向。如果利用横向热电效应,可以巧妙地“绕过”传统热电效应的上述困难,并且将其转化为横向热电效应的独特优势。
如图2所示,横向热电效应不再区分电子和空穴,二者的效应等价并相互叠加,电荷空穴补偿导致增强的横向热电效应。在实际应用中,不再需要n型和p型材料的串联结构。另外,由于热流和电流方向垂直,Wiedemann-Franz定律的限制被解除,可以相对独立地优化电导和热导。更加重要的是,拓扑材料的能带结构所导致的贝利曲率可以产生额外的反常横向热电效应,其大小可以通过改变费米能而进行调节。对拓扑半金属而言,产生大横向热电效应需要的外磁场原则上可以很小,普通稀土永磁体的磁场可能已经足够大。如果进一步考虑具有磁性的拓扑体系时,巨大的横向热电效应甚至可以在零磁场下出现,而不依赖于任何外加磁场。这将极大地丰富该效应的潜在应用场景。相关结果近期发表于Sci. China-Phys. Mach. Astron. 63, 237011 (2020)。
该杂志还同期发表了陈仙辉院士对该工作的评论文章,指出拓扑半金属的巨大横向热电效应可能是该类材料的普适现象。正像很多拓扑半金属的横向霍尔电导可以远远大于常规的纵向电导率一样,其横向热电效应也可以远大于常规的纵向热电效应。这一点值得相关实验和理论研究者的关注,对于探索新型热电材料和寻找拓扑材料的相关应用具有重要意义。以上工作得到了国家自然科学基金、科技部重点研发计划和中科院B类先导专项的资助。

图1:横向和纵向热电优值随磁场的变化(左)和二者峰值随温度的变化(右)。
(中国粉体网编辑整理/江岸)
注:图片非商业用途,如侵权告知删除
















