中国粉体网讯 电子信息技术的突飞猛进,加快了电子元器件升级换代的速度。高性能电子陶瓷材料及无源电子元件是电子产品重要的实体,在信息产业中的地位不亚于钢铁在传统工业中的地位,其发展具有重要的战略意义。MLCC是世界上用量最大、发展最快的片式元件之一,在陶瓷电容器中产值占比超过90%。其具有容量范围宽、频率特性好、工作电压和工作温度范围宽、超小体积、无极性等优良特性,且应用领域极其宽泛。
近日,深圳先进电子材料国际创新研究院(简称“深圳电子材料院”)在MLCC领域取得系列进展。
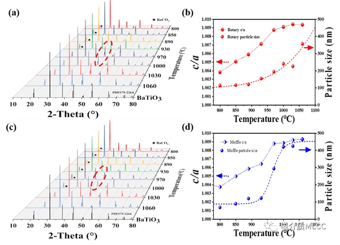
采用两步煅烧结合回转炉煅烧的方法合成BaTiO3超细粉体
近年来,随着电子设备及其元器件的小型化、高可靠性、薄型化和低成本化,介质材料的晶粒尺寸不断向纳米级别发展。对MLCC而言,实现高容量、小型化、薄层化和高可靠性等性能要求的基础是减小基料钛酸钡(BaTiO3,BT)的粒径尺寸,即粉体超细化。为实现MLCC的这些性能需求,基料BT的晶粒尺寸需要控制在 200nm 以下。目前,超细BT的合成方法包括水热法、固相法、溶胶-凝胶法、熔盐法等。其中,水热法和固相法是工业中常用的两种工艺。但是,水热法合成BT的步骤复杂、成本高、废液处理复杂,产品易存在羟基缺陷,且该方法的合成条件控制苛刻,技术壁垒高。固相法则以其成本低、工艺简单、合成的BT粉体缺陷少、结晶度高的优势成为工业中最常用的工艺,但传统固相法由于较高的煅烧温度(>1000°C)常导致BT粉体的粗晶化和团聚化。因此,工业上急需一种经济实用的生产超细原料粉体的手段。
在此背景下,深圳电子材料院张蕾副研究员团队成功采用两步煅烧结合回转炉煅烧的方法合成了颗粒均匀、高四方性的BaTiO3超细粉体。反应动力学研究发现,回转炉提高了固相反应的传热效率,增加了Ba2+和Ti4+的点接触面积,降低了两者的扩散速率,使扩散成核生长速率大于BaCO3的分解速率,从而提高了Ba2+和Ti4+的反应活性,进而提高BaTiO3粉体的四方性。通过优化工艺、理解反应机理,采用两步辅助回转炉煅烧法成功地制备了平均粒径为250nm、四方度(c/a)为1.0096的BaTiO3超细粉体。该工作克服了固相高温煅烧引起的粗结晶和团聚问题,提高了粉体的四方性,为固相法生产高四方性BaTiO3超细粉体提供了新思路。

固相反应过程示意图与性能对比
该研究成果以“Fabrication of BaTiO3 nanopowders with high tetragonality via two-step assisted rotary furnace calcination for MLCC applications”为题发表于材料领域期刊Ceramics International上,该研究论文的第一作者为电子材料院电介质材料研究中心栾赛伟(硕士研究生在读),共同通讯作者为电子材料院张蕾副研究员和广东风华高新科技股份有限公司付振晓高级工程师。
晶粒尺寸和晶粒均匀性对超薄MLCC直流偏置特性和可靠性影响
目前,随着5G通信网络和电动汽车的快速发展,迫切需要超薄MLCC在各种直流偏压和频率下具有优异介电性能和优越可靠性。然而目前还缺乏针对晶粒尺寸和晶粒均匀性对超薄MLCC直流偏置特性和可靠性影响的系统研究。
在此背景下,深圳电子材料院张蕾副研究员团队联合清华大学和广东风华高新科技股份有限公司的研究人员讨论了晶粒尺寸均匀性在超薄介电层中的重要作用,并指出了在BaTiO3基超薄多层电容器中获得高直流特性和可靠性的途径。该团队成功制造出具有不同晶粒尺寸的超薄(厚度约1μm)X5R BaTiO3基MLCC。结果表明,由于直流偏置场增大时较低比例的不可逆畴壁运动导致的更低空间电荷极化和更小介电损耗,平均晶粒尺寸为(240±76)nm的MLCC芯片在不同频率下表现出更高的温度稳定性。并且,均匀结构样品中晶界的高密度和氧空位浓度可以有效提高击穿强度。因此,具有均匀结构的样品表现出4900的高介电常数、63.74MΩ的高电阻率和6426h的理论寿命。

图注:(a)直流偏压场的介电常数依赖性(插入:8-10V/μm),(b)P-E环路,(c)可逆和(d)不可逆FORC分布的演化,(e)超薄MLCCs芯片的TEM图像。
该研究成果以“Importance of uniformity of grain size to reduce dc degradation and improve reliability of ultra-thin BaTiO3-based MLCCs”为题发表在Ceramics International上,该研究论文的第一作者为深圳先进电子材料国际创新研究院电介质材料研究中心蒋坤伦(硕士研究生在读),共同通讯作者为先进电子材料国际创新研究院张蕾副研究员和清华大学深圳国际研究生院李勃研究员。
信息来源:深圳先进电子材料国际创新研究院、电介质MLCC
(中国粉体网编辑整理/山川)
注:图片非商业用途,存在侵权告知删除

















