中国粉体网讯 超细二氧化硅是一种无毒、无味、无污染的无机非金属材料,具有优良的绝缘性、抗腐蚀性、比表面大、表面活性基团多等优良性能,应用广泛。超细二氧化硅根据制备方法的不同会呈现各种各样的形状,不同形状的粉体所表现出来的性能也不尽相同,其中球形二氧化硅粉体性能相比非球形二氧化硅粉体更为优异,尤其随着电子封装材料的发展,作为环氧塑封料填料的高品质二氧化硅粉体球形化的研究成为新材料研究领域的一大热点。
目前,球形或类球形二氧化硅或石英超细粉的制备方法主要包括物理法和化学法,物理法包括机械研磨法、火焰成球法、高温熔融喷射法、等离子体法;化学法主要是气相法、液相法(溶胶一凝胶法、沉淀法、微乳液法)等。
1.气相法
气相法二氧化硅(即气相法白炭黑)是硅的卤化物在精馏塔精馏,在高温下气化后,与一定比例的经过加压、分离、冷却、干燥后的氢气和氧气,在高温下进行气相水解,经旋风分离器收集,得到气相二氧化硅。用气相法制备二氧化硅颗粒,反应过程较容易控制,但是副产物的出路问题难以解决,并且成本较高。其反应式为:

运用气相法制备球形硅微粉时,因为其表面有活性羟基,亲水性很强,遇到有机物后很难浸润与分散,为了解决这个问题,可以减少产品中的Si-OH键,这样也有利于实现球形硅微粉应用领域不断扩大。
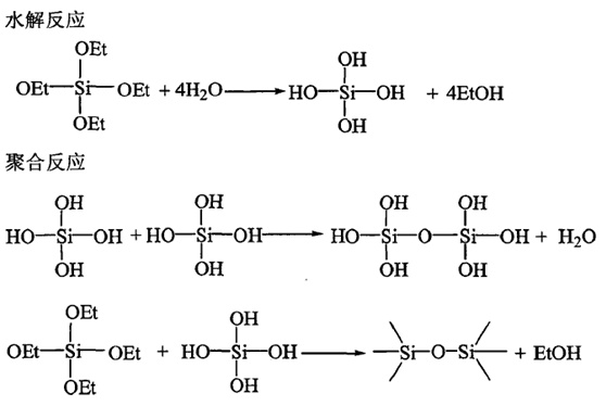
2.溶胶一凝胶法
溶胶-凝胶法是将原料与液相均匀混合,经过水解生成活性单体再进行缩合化学反应,开始形成稳定的透明溶胶,进而形成三维网络空间结构的凝胶。再经过干燥、烧结固化制备出纳米粒级的球形二氧化硅或石英颗粒。
溶胶凝胶法制备超细二氧化硅的反应过程图
高慧等以硅酸乙酯为原料,采用溶胶-凝胶法制备了纳米二氧化硅;首先加入一定量的正硅酸乙酯和无水乙醇在烧杯里,然后在恒温磁力搅拌下慢慢滴入蒸馏水、无水乙醇和适量盐酸组成的混合溶液,形成溶胶后将其放入通风橱中1h,变为凝胶后,再放入干燥箱中干燥4h,最后经过研磨,再放入箱式电阻炉中以700℃煅烧3h,得到二氧化硅粉体。
旦辉等以价格低廉天然优质粉石英矿物为基本原料,采用改进溶胶-凝胶技术,盐酸和硅酸钠溶液共同滴加的方式,制备出的高纯纳米SiO2粉体,平均粒径在50~80nm,分散性好,呈无定性结构。
通过溶胶-凝胶法制备出的球形二氧化硅或石英颗粒纯度高、颗粒细、工艺流程简单。但是颗粒在干燥时的收缩性大,较易形成团聚体。
3.沉淀法
沉淀法是将不同化学成分物质混合形成混合液,再适当加入沉淀剂,把形成的沉淀物进行洗涤、干燥或煅烧后得到二氧化硅颗粒。沉淀法制备的二氧化硅颗粒粒径均匀,工艺流程简单且易控制,但存在纯度低、易团聚等现象。具体反应过程为:

在沉淀法制备球形硅微粉时,可以选择硅酸钠、氯化铵等原料,先严格控制硅酸钠浓度、pH值、乙醇和水的体积比,能够获得无定型纳米SiO2,其粒径在5-8nm之间,并具备良好的分散性特点。也可以选择水玻璃、硫酸等原料,通过使用超重力反应器获得球形硅微粉,其比以往的方法优势更加显著,其优点在于反应速度快,减少了晶体制备与分段加酸等过程,只需要将浓硫酸添加至旋转床中反应即可,不仅工艺非常简单,也有利于操作,可以实现工业化生产。此外,也可将四氯化硅、硅酸钠等当成原料,采取聚乙二醇、无水乙醇等制备球形硅微粉。在此过程中要严格控制好硅酸钠浓度,可以获得球形的非晶SiO2颗粒,其粒径平均为150nm,且分布也很均匀。该工艺流程并不复杂,操作简单,对设备要求不高,能够消除多晶硅产业发展副产物问题,实现了经济效益的提升。
4.微乳液法
微乳液法是利用两种互不相溶的溶剂在表面活性剂的作用下形成乳液,在微小空间中成核、聚结、团聚热处理后,形成球形二氧化硅或石英颗粒。由于微小空间限制了颗粒的成核生长等过程,所以制备出的颗粒粒径易控制、粒度分布窄且不易团聚。
骆锋等以硅酸盐溶液、环己烷、聚乙二醇辛基苯基醚和正戊醇体系的微乳液反应为基础,以浓硫酸为沉淀剂,采用微乳液法制备了高比表面积纳米SiO2粉体,粉体颗粒形貌近似呈球形,粒径为15~35nm,比表面积达580~630m2/g。
5.水热法
水热法是将无机和有机化合物与水在高温高压下化合,再经过滤、洗涤、干燥,得到球形二氧化硅或石英颗粒。水热合成法制备出的球形二氧化硅颗粒纯度高、颗粒粒径可控、分散性良好。此外,由于水热合成法不需要经过煅烧过程,降低了形成团聚体的几率且避免了杂质的引入。但水热法要求高温高压的反应环境,对设备要求较高。
6.喷雾法
喷雾法是将溶液送到雾化器中,通过雾化液体被分散成小雾团,再经过热处理、干燥和收集,即可得到球形二氧化硅或石英颗粒。
优点:喷雾法制备出的球形二氧化硅或石英颗粒粒径可控、颗粒分布较窄、颗粒比表面积高。
缺点:喷雾干燥设备占地大、热耗大、热效率不高。
黄冈师范学院的田辉明公开了一种超声波雾化制备球形硅微粉的生产方法,包括以下步骤:
(1)将液态硅加热并保温,温度维持在1450‑1550℃;
(2)在高纯氧气的雾化介质的氛围下,利用超声波雾化器在在频率为80‑160kHZ,气体雾化压力为8.3‑8.7Mpa的条件下,将液态硅雾化以生成非晶态球形二氧化硅物料;
(3)对生成的二氧化硅料物料进行冷却,即得球形二氧化硅粉体。
用本发明制备的球形硅微粉为高纯或超高纯硅微粉,工艺简单,易于产业化,具有较大的应用价值和前景。
7.机械研磨法
机械研磨利用高速冲击式磨机、振动磨、气流磨、胶体磨、介质搅拌磨等粉碎设备及作为配套设备的精细分级设备制备相应的纳米材料。可采用干法和湿法研磨两种。与干法制备相比,湿法研磨利用水作为载体介质,使用介质搅拌磨研磨颗粒,制备的产品粒度较细、粒度分布较窄。
相对于化学法而言,利用介质搅拌磨直接研磨获得纳米粒级的颗粒,可以充分利用现有资源,具有工艺简单、环保和可工业化生产诸特点。
8.高温熔融喷射法
高温熔融喷射法是将高纯度二氧化硅或石英在高温场中熔融为液体,经过喷雾被打碎成雾状小液滴,再通过冷却,液滴遇冷收缩成表面光滑的球形二氧化硅或石英颗粒。
利用高温熔融喷射法制备出的球形二氧化硅或石英颗粒球化率最高,球形化率和非晶形率均可达到100%。但是难以防止二次污染,纯度很难保证,并且雾化粒径难以调整。所以通过高温熔融喷射法工业化生产球形二氧化硅或石英颗粒难度很大。目前美国的球形硅微粉主要采用此法生产的,国内几乎未见这方面研究和生产的报道。
9.等离子体法
等离子体法是利用交流或直流电弧等离子矩产生的高温区将二氧化硅或石英粉体熔化,液体表面受到张力的作用收缩形成球形小液滴,再经过气化及淬冷形成球形二氧化硅或石英颗粒。
王翔等采用高频等离子法制备球形硅微粉,研究表明高频等离子法可以提高粉体的纯度,二氧化硅粉体在经过等离子设备高温弧区内,在弧内3000℃高温下,一些杂质在高温下汽化,从而起到提高球形二氧化硅粉体纯度的作用。
等离子球化硅微粉工艺图
Schulz等人以高频氩气等离子体产生的高温气体为热源,通过四氯化硅与氧气反应,制备出粒径小于4nm的球形二氧化硅颗粒。所得的非晶态等离子二氧化硅粉末具有较高的溶解性,有利于在分子筛合成中的应用。
利用等离子体法制备出的球形二氧化硅或石英颗粒纯度高,因为一些杂质在高温场中汽化,起到提纯作用;加热温度较高,反应速率快;淬冷过程颗粒不再长大,颗粒粒径较容易控制。同时,也存在一些不可控的因素,使得等离子体技术难以大规模地应用,如高温场的温度不容易控制,电流不稳定等。
10.火焰成球法
火焰成球法是将二氧化硅或石英颗粒输送到燃料气—氧气产生的高温场中,通过高温熔融成无定型颗粒,然后冷却收缩成球,制备出纯度高的球形二氧化硅或石英颗粒。
相对于其他方法来说火焰成球法制备球形二氧化硅颗粒的过程较容易控制,适合工业化生产,是具有发展前途的生产球形二氧化硅颗粒的工艺。
江苏联瑞新材料股份有限公司将不同粒径的角形硅微粉采用火焰燃烧法制备不同粒径的球形硅微粉,再对球形硅微粉产品进行粗效分级、精细分级处理,最后进行粒度级配。公司通过粗效分级、精细分级等工序对粉体进行大颗粒去除,大颗粒含量控制在10个以下,达到有效控制到大颗粒的目的,避免下游产品使用过程中大颗粒阻塞封装注胶口或造成封装不良;通过合理的粒级配比调整硅微粉粒度分布,改善球形硅微粉产品的流动性、粘度以及溢料特性,实现提供一种大颗粒得到有效控制、低粘度、高流动性、使用方便的电子封装用球形硅微粉的制备方法。
近年来江苏联瑞新材料股份有限公司通过与南京理工大学开展紧密产学研合作,自主创新发出以火焰法为基础和以特定硅源化合物(SiRn)为原料的一种亚微米球形硅微粉制备新方法。其制备机理是将微米级特定硅源化合物在炉膛内与氧发生燃烧反应,生成SiO2气体,然后对该气体SiO2进行凝集和冷却,使其变成亚微米级固态球形硅微粉。

式中,SiRn为特定硅源化合物;ROm为R对应的氧化物;E为燃烧释放的能量。
该方法制备的亚微米球形硅微粉产品具有无定型含量高、表面光滑、分散性好、粒度分布适当和纯度高等特点,采用其制备的覆铜板板材在剥离强度、耐热性、CTE、粘合力等方面与日本填料相当,实现了亚微米球形硅微粉国产化,打破了国外在该领域的技术封锁和垄断,对关键材料的自主保证具有重要意义。
小结
物理法制备球形硅微粉,原材料不仅来源广,价格也不高,但是需要石英有较高质量,对生产设备也有一定要求。而化学法制备的球形硅微粉不仅保证了粒径的均匀,同时纯度也更高,不过在制备过程中对表面活性剂需求较大,这极大增加了生产成本,且存在的有机杂质清除困难,易出现团聚现象,工业化很难实现。从大批量生产角度来看物理法中的火焰熔融法和化学法中的燃烧合成法是主流生产工艺。
目前世界上对二氧化硅粉体球形化研究最为成功的国家是日本,虽然我国制备球形SiO2的工艺已经取得一些重要的成就,但如何降低成本,简化生产过程,使之能工业化等等问题依然存在。而且随着大规模和超大规模集成电路封装技术的发展,为了避免半导体器件中产生软误差,获得放射性元素尤其是铀(U)含量(质量分数)小于1×10-9的高纯低放射性球形硅微粉的研究有待加强。
参考资料:
陈佳颖.化学溶蚀辅助超细研磨方法制备类球形二氧化硅胶粒
李晓冬等.亚微米球形硅微粉的制备技术研究进展
李勇等.球形硅微粉制备方法与应用研究
陈荣芳等.纳米球形二氧化硅的制备工艺进展
王建军等.球形非晶SiO2的制备及填充性能
王翔等.高频等离子法制备球形硅微粉的工艺研究
(中国粉体网编辑整理/三昧)
注:图片非商业用途,存在侵权告知删除!





















