中国粉体网讯 引起相同组分三元材料倍率性能差异的原因主要有材料的粒径、形貌、锂化配比、煅烧气氛等。
1、粒径
粒径小的材料比表面积较大,材料与电解液的接触面积较大,同时锂离子的扩散路径变短,有利于大电流密度下锂离子在材料的嵌脱,因此小粒径材料的倍率性能较好。
要得到小粒径的三元材料,需要用小粒径的前驱体煅烧;或将大粒径的三元材料破碎成小颗粒后进行煅烧。
2、形貌
不同形貌的三元材料倍率性能不同,疏松多孔的形貌有利于电解液的浸润,缩短锂离子的扩散路径,所以倍率性能好于密实的形貌。疏松多孔的三元材料SEM如图(a)所示。密实的三元材料SEM如图(b)所示。

用于不同倍率产品的SEM图
三菱化学用MCC方法制备出一种内部为多孔结构的三元材料,如图(a)所示。图中左边为常规共沉淀法制备的材料,可见材料内部密实无孔洞。图中右边为MCC法制备的材料,其内部有大量孔隙。两种材料的倍率性能见图(b),可看出内部有孔隙的材料倍率性能明显优于内部密实的材料。

三菱化学不同倍率性能产品对比
3、锂化配比
锂化配比会影响材料的倍率性能。美国Argonne实验室对比了锂化配比相差0.05的两个样品的倍率性能,结果如图所示,图中“x=0”表示样品分子式分为:Li1.0(Mn4/9Co1/9Ni4/9)O2;“x=0.05”表示样品分子式为:Li1.05(Mn4/9Co1/9Ni4/9)0.95O2。
从图中可以看出,在低倍率下(C/12)两种样品的容量无差别,但随着充放电倍率的增大,高锂化配比的样品倍率性能明显好于低锂化配比的样品。研究人员认为高锂化配比材料倍率性能优异的原因是其具有较高的电子电导率。

不同锂化配比的三元材料倍率性能对比
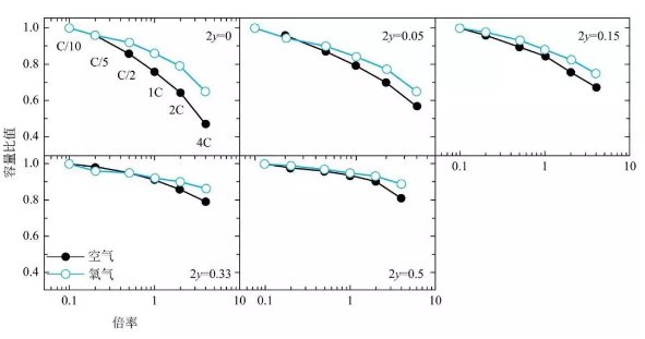
4、煅烧气氛
煅烧气氛分别为氧气和空气。从图中可以看出,在0.1C和0.2C情况下,空气气氛和氧气气氛材料并无明显差别,但随着倍率的上升,氧气气氛下煅烧的材料倍率性能优于空气煅烧的材料。且五种不同组分的材料都有相同的变化趋势。但气氛对不同组分的材料影响效果略有差异。研究人员认为氧气气氛减少了材料的阳离子混排,从而使材料拥有较好的倍率性能。

不通气氛下煅烧出的三元材料倍率性能对比
















