中国粉体网讯

【研究背景】
锂离子电池(LIBs)性能衰减由循环和储存共同影响。循环导致的性能衰减主要是由于活性材料的化学机械退化,对此已有大量的研究。储存导致的性能衰减机理与循环不同,但对其研究较少。电池在存储期间的荷电状态(SoC)几乎保持不变,存储引起的衰减将在很大程度上取决于静置时的SoC。在不同的SoC下,正负极活性材料的结构稳定性、与电解液发生的副反应、电池静置时的温度都会对电池性能产生影响。存储引起的容量衰减与SoC表现出与循环衰减完全不同的一种奇特关系,即存储性能在高SoC下表现出比中间SoC下更好的容量保持率。这可能与储存期间阳极和阴极发生的副反应不平衡有关。
【内容简介】
为了填补该领域的研究空白,本文使用LiNi1-x-yCoxMnyO2 (NCM6, 1-x-y > 0.6) 和LiNi1-x-y-zCoxMnyAlzO2 (NCMA8, 1-x-y-z > 0.8)两种富镍阴极研究了两个代表性的SoC下的电池(SoC70和SoC100)性能。结果显示,在SoC70储存的电池容量保持率较差,而在SoC100下储存的电池产生了更多的气体。尽管高Ni的阴极通常被认为在高SoC下更不稳定,但NCMA8/石墨电池在存储期间显示出与NCM6/石墨电池相当甚至稍好的容量保持率。通过对电池进行原位XRD和电池拆解分析,揭示了存储期间逆向容量衰减的根源。原位XRD观察发现,SoC70电池在储存期间出现严重的锂库存损失,这表明中间SoC下存储期间的容量衰减主要是由锂库存损失引起。另一方面,拆解分析与原位XRD相结合,揭示了高SoC储存期间的容量衰减主要是由NCMA8阴极材料在储存期间发生的结构退化所致,正极产生的副反应抑制了锂库存损失。研究结果揭示了阴极活性材料(CAM)的结构衰减以及其在全电池容量保持率方面的矛盾作用。作者指出阳极的还原性副反应和从CAM释放的氧气是引起存储衰减的主要原因。
【主要内容】
容量保持率和高温存储期间产气

图 1 SoC70 和 SoC100 高温储存期间的容量保持率和气体演化。
图1显示了软包电池在高温存储期间的容量保持率以及气体生成特征。NCM6/石墨(图1a)和NCMA8/石墨(图1b)全电池在SoC70下的储存期间,其容量衰减比在SoC100下更快。与容量保持率相反,SoC100由副反应引起的产气比SoC70更严重。不同SoC下的阴极和阳极电位差异导致存储期间发生卓然不同的副反应。SoC100产生的烷烃约是SoC70的3倍。CAM表面释放的氧导致电解液发生不可逆氧化进而产生CO和CO2,SoC100要比SoC70高出约12倍。SoC100条件下的较高阴极电位(约300mV,图1c)引发了更严重的氧化反应,产生更多的CO2。这表明SoC100下的CAM氧化副反应更为严重,导致CAM分解产生CO2和草酸锂。草酸锂在阴极/阳极之间引发自放电穿梭反应,CO2溶解在电解液中并扩散到阳极,与锂离子反应还原为草酸锂,随后草酸锂可以扩散回阴极,将锂离子插入阴极,并被氧化为CO2。这个自放电反应会在随后的循环中恢复,从而抑制了锂库存的损失以及在SoC100下的存储期间的容量衰减。相反,SoC70条件下产生的CO2较少,这表明较为稳定的SoC70抑制了不可逆的CAM分解以及与阴极相关的副反应。在这种情况下,从阳极中提取的锂离子无法被重新收集到阴极,因此上述自放电反应无法在SoC70中发生。这导致整个电池内的锂库存不可逆地减少,容量迅速下降。从容量保持率和气体生成结果来看,SoC70和SoC100条件下的存储引起的衰减受到不同的机制驱动。另外,考虑到晶格氧释放通常导致CAM的不可逆衰减,高SoC100条件下的优越容量保持率引发了关于在经历如此多副反应后,CAM在循环中的结构活性的问题。为了确定SoC70和SoC100条件下存储后CAM的结构衰减对整体电池衰减的影响,对高温存储后的循环期间阳极和阴极的结构进行了实验性分析。
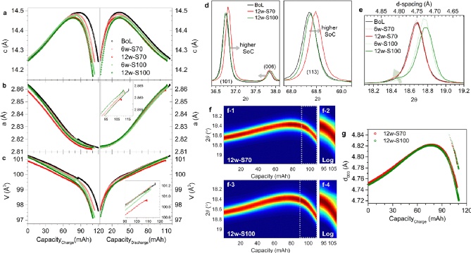
高温存储后NCM6/石墨电池的结构变化

图 2 高温储存后阳极的结构演变。

图 3 通过原位 XRD 获得的 NCM6 阴极的结构变化。
通过对衰减的NCM6/石墨电池进行分析,利用阳极(图2)和阴极(图3a–c)的原位X射线衍射图来分析活性材料的结构变化。图中的“12w-S100”代表在SoC100下储存了12周的电池。随着储存时间的增加,阳极中的锂含量降低(图2d),而阴极脱出的锂未能充分地重新插入到阳极中,这可能是由于电池内的CAM降解或可循环锂的损失。储存时间的增加还导致了阳极d-间距的峰值位置下移(图2e),这表明锂浓度在GIC中减少。SoC70电池的阳极在充电和放电终点显示出较低的锂含量,表明储存后整个电池内的锂库存损失。与初始状态相比,衰减NCM6的结构演化显示出:(1)晶格参数c(即层间距)的最大值降低,(2)放电结束时稍高的SoC,以及(3)在SoC100电池中充电终点处c的收缩。另外,衰减电池中NCM6的晶格参数a略微减小(图3b),单位胞体积V也有所下降(图3c),这在放电终点(EOD)时表现出来。XRD图中的相应峰值偏移(图3d)表明阴极的SoC较高。在12w-S70的阴极中,SoC的增加是由于阳极电位的偏移造成的。因为石墨阳极不能进一步去锂化,所以在SoC70存储的电池中,NCM6阴极无法在EOD处充分锂化。在SoC100条件下,(003)峰向更高角度移动(图3e、f),这表明在充电终点处c的显著收缩。随着SoC100存储时间的增加,c的收缩变得更加严重。此外,在高SoC区域出现了一个被称为疲劳相的次要相(图3e,f)。疲劳相具有有限的容量。图中(003)峰分解为两个峰(图3g),分别对应于活性相和疲劳相。随着储存时间增加,12w-S100电池中的疲劳相比12w-S70更为明显。疲劳相的结构演化与前者相似。
高温存储后NCM6阴极的结构衰减

图 4 老化 NCM6 阴极的解剖分析。
通过半电池测试揭示了CAM的结构衰减。实验过程中,从衰减的全电池中取出NCM6阴极与锂阳极重新组装成半电池,然后在进行两次循环后进行测量。尽管在NCM6半电池中进行了两次循环,SoC100在全电池中的电压曲线变化仍然在半电池中体现出来(图4a)。12w-S100的dQ/dV曲线(图4b)上的相应峰比初始状态(BoL)更加显著,这表明NCM6阴极存在永久性的结构变化。即使经过12周的储存,SoC70的全电容量保持率(90.6%)低于SoC100(94.0%),但NCM6阴极的情况却相反(图4a)。因此,SoC70的全电容量衰减主要是由于锂库存的流失,而不是不可逆的CAM降解。在电池中有足够的循环锂的情况下容量可以恢复。通过原位同步X射线衍射(SXRD)图,可以观察到经过高温储存后NCM6阴极的持续结构衰减(图4c、d)。通过DF-STEM图确认了12w-S70(图4e)和12w-S100(图4f)阴极表面存在表面重构层(SRL)。此外,通过对Ni K边XANES分析,可以得知Ni的整体平均氧化态。结果显示,12w-S100中活性相中的Ni氧化态更高。

Scheme 1 储存引起的老化示意图。
Scheme 1总结了通过原位X射线衍射和衰减NCM6阴极的表征揭示的NCM6/石墨电池在储存条件下引起的衰减机制。虽然在SoC70条件下的储存不会严重降解CAM,但是在储存过程中锂库存的流失将阳极电位曲线向右移(Scheme 1a)。这种阳极电位移动阻止了低SoC区域的阴极利用,导致不可逆的容量衰减。这种容量衰减主要源于锂库存的流失。另一方面,在SoC100条件下的储存导致的容量衰减主要是由于CAM的永久性结构衰减引起的。尽管SoC100中CAM的降解比SoC70更严重,但相关的氧化副反应抑制了阳极电位移动(即锂库存的流失)以及随后的容量衰减。因此,在SoC100条件下的容量损失是由于阴极结构的衰减,而不是在储存期间锂库存的流失。
高温存储后拆解电池获得的NCMA8阴极结构表征

图 5 充电终点处老化 NCMA8 阴极的原位 SXRD 分析。

图 6 老化 NCMA8 阴极的解刨分析。
通过进一步研究NCMA8,探究了CAM的结构衰减对存储引起的衰减的影响。NCMA8的原位同步X射线衍射结果(图5)显示了与NCM6阴极相似的c的收缩以及疲劳相的存在。疲劳相的比例随着SoC和存储时间的增加而增加(图5a,b)。NCMA8的晶格参数c、a、晶胞体积V和c/a比(图6a-d)都表明在衰减阴极的放电终点处的SoC略高(即锂不足)于初始状态。在低SoC区域,c/a比随着SoC的增加而增加,这可以用于评估阴极的SoC。由于在充电终点存在更高的疲劳相比例(图5b),这意味着CAM表面存在更厚和/或更宽的表面重构层(SRL),而SRL的存在会阻碍锂的插入。通过观察放电期间的dQ/dV曲线可以看到锂的缓慢插入。随后,使用GITT验证了由于衰减的NCMA8阴极表面的SRL对扩散的阻碍(图6f、g)。

图 7 老化的 NCMA8 阴极 Ni L3-edge 的 XAS 分析。
研究了经过12周存储的SoC70和SoC100条件下的放电状态中Ni的氧化态变化(图7a、b)。SoC70阴极中的Li缺陷导致Ni的氧化态更高(图7a)。然而,SoC100的阴极Ni氧化态显著降低。通过sXAS研究了由于SRL存在而引起的表面氧化态变化(图7c、d)。SRL的形成导致表面区域附近Ni的氧化态明显降低。存储了4周的NCMA8相较于经过12周存储的NCM6,在表面Ni的氧化态下降方面表现更为明显(图4g、h),这突显了高镍NCM(A)的表面不稳定性。

Scheme 2 高温储存后观察到的 CAM 结构退化。
Scheme 2 总结了在存储期间发生的结构降解过程:(1) 存储期间,CAM的镍氧化态降低,导致在CAM表面形成了SRL。(2)高SoC条件下,经过存储后的循环中出现了疲劳相,这是导致容量衰减的主要原因之一。(3) Li/Ni阳离子混合略有增加,但CAM基本保持了晶体结构。存储衰减更好地反映了特定SoC存储时独特的结构不稳定性。
【结论】
研究结果全面展示了在存储过程中CAM的结构降解以及其对容量保持的逆向影响。中等SoC的存储导致CAM的相对轻微降解,但由于全电池中严重的锂库存损失,容量快速衰减。相反,高SoC的存储抑制了容量衰减,但以CAM严重降解为代价,导致CO2的生成。尽管在早期阶段副反应可能抑制了表观容量衰减,但CAM的降解和相关的副反应会消耗电解液,增加了电池失效的潜在风险。因此,抑制CAM中氧释放、减少中高SoC存储期间的不可逆锂库存损失和随后的容量衰减,以及提高阳极处的还原稳定性,将成为减轻存储引起衰减的关键策略。本文的结构分析为减少高SoC存储期间气体生成、优化存储协议提供了宝贵的见解。
Paradoxical role of structural degradation of nickel-rich layered oxides in capacity retention upon storage of lithium-ion batteries.H. Hyun, H. Yoon,S. Choi, J. Kim, S. Y. Kim, T. Regier, Z. Arthur, S. Kim and J. Lim, Energy Environ. Sci., 2023, DOI:10.1039/D3EE02334F.
https://pubs.rsc.org/en/content/articlelanding/2023/ee/d3ee02334f#!divRelatedContent&articles
(中国粉体网编辑整理/苏简)
注:图片非商业用途,存在侵权告知删除!
















